1. 简介
在本教程中,我们首先了解什么是最小生成树。然后,我们将使用Prim算法来查找最小生成树。
2. 最小生成树
最小生成树(MST)是一个加权、无向、连通的图,通过删除较重的边,使其总边权重最小化。换句话说,我们保持图的所有顶点不变,但可能会移除一些边,以使所有边的总权重最小。
我们从加权图开始,因为如果边本身没有权重,那么最小化边的总权重就没有意义。我们来看一个示例图:

上图是一个带权、无向的连通图,以下是该图的MST:

但是,图的MST并不是唯一的,如果图有多个MST,则每个MST的总边权重相同。
3. Prim算法
Prim算法以加权、无向、连通图作为输入,并返回该图的MST作为输出。
它以贪婪的方式工作;第一步,它选择一个任意顶点,此后,每一步都会将最近的顶点添加到迄今为止构建的树中,直到没有断开的顶点为止。
让我们逐步在该图上运行Prim算法:

假设算法的起始顶点是B,我们有3个选择:A、C和E,这3个边对应的权重分别为2、2和5,因此最小值为2。在本例中,我们有两条边权重为2,因此我们可以选择其中任意一条(选择哪一条都无所谓),我们选择A:

现在我们有了一棵树,它有两个顶点A和B,我们可以选择A或B中任何一条尚未添加的边,只要它们指向一个未添加的顶点即可。因此,我们可以选择AC、BC或BE。
Prim算法选择最小值,即2,或BC:

现在我们有了一棵树,它有3个顶点和3条可能的边:CD、CE或BE。AC不包括在内,因为它不会在树中添加新顶点。这三者之间的最小权重为1。
但是,有两条边的权重均为1。因此,Prim算法在此步骤中选择其中一条边(同样,选择哪一条并不重要):

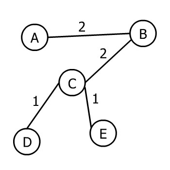
现在只剩下一个顶点需要连接,因此我们可以从CE和BE中选择,连接我们的树的最小权重是1,Prim算法将选择它:

由于输入图的所有顶点现在都出现在输出树中,Prim算法结束。因此,这棵树是输入图的MST。
4. 实现
顶点和边构成了图,因此我们需要一个数据结构来存储这些元素,让我们创建Edge类:
public class Edge {
private int weight;
private boolean isIncluded = false;
}
由于Prim算法适用于加权图,因此每条边都必须有一个权重,isIncluded显示边是否存在于最小生成树中。
现在,让我们添加Vertex类:
public class Vertex {
private String label = null;
private Map<Vertex, Edge> edges = new HashMap<>();
private boolean isVisited = false;
}
每个顶点可以可选地带有一个标签,我们使用边图来存储顶点之间的连接,最后,isVisited显示该顶点到目前为止是否已被Prim算法访问过。
让我们创建Prim类来实现逻辑:
public class Prim {
private List<Vertex> graph;
}
一个顶点列表足以存储整个图,因为每个Vertex内部都有一个Map<Vertex,Edge>来标识所有连接。在Prim内部,我们创建一个run()方法:
public void run() {
if (graph.size() > 0) {
graph.get(0).setVisited(true);
}
while (isDisconnected()) {
Edge nextMinimum = new Edge(Integer.MAX_VALUE);
Vertex nextVertex = graph.get(0);
for (Vertex vertex : graph) {
if (vertex.isVisited()) {
Pair<Vertex, Edge> candidate = vertex.nextMinimum();
if (candidate.getValue().getWeight() < nextMinimum.getWeight()) {
nextMinimum = candidate.getValue();
nextVertex = candidate.getKey();
}
}
}
nextMinimum.setIncluded(true);
nextVertex.setVisited(true);
}
}
我们首先将List<Vertex> graph的第一个元素设置为已访问,第一个元素可以是任何顶点,具体取决于它们首先添加到列表中的顺序。如果存在尚未访问的顶点,则isDisconnected()返回true:
private boolean isDisconnected() {
for (Vertex vertex : graph) {
if (!vertex.isVisited()) {
return true;
}
}
return false;
}
当最小生成树isDisconnected()时,我们循环遍历已经访问过的顶点,并找到具有最小权重的边作为nextVertex的候选:
public Pair<Vertex, Edge> nextMinimum() {
Edge nextMinimum = new Edge(Integer.MAX_VALUE);
Vertex nextVertex = this;
Iterator<Map.Entry<Vertex,Edge>> it = edges.entrySet()
.iterator();
while (it.hasNext()) {
Map.Entry<Vertex,Edge> pair = it.next();
if (!pair.getKey().isVisited()) {
if (!pair.getValue().isIncluded()) {
if (pair.getValue().getWeight() < nextMinimum.getWeight()) {
nextMinimum = pair.getValue();
nextVertex = pair.getKey();
}
}
}
}
return new Pair<>(nextVertex, nextMinimum);
}
我们在主循环中找到所有候选的最小值并将其存储在nextVertex中,然后,我们将nextVertex设置为已访问。循环一直持续,直到所有顶点都被访问过。
最后,每个isIncluded等于true的Edge都存在。
请注意,由于nextMinimum()会遍历所有边,因此此实现的时间复杂度为O(V2)。如果我们将边存储在优先级队列中(按权重排序),则该算法的执行时间复杂度为O(E log V)。
5. 测试
让我们用一个真实的例子来测试一下,首先,我们构建图:
public static List<Vertex> createGraph() {
List<Vertex> graph = new ArrayList<>();
Vertex a = new Vertex("A");
// ...
Vertex e = new Vertex("E");
Edge ab = new Edge(2);
a.addEdge(b, ab);
b.addEdge(a, ab);
// ...
Edge ce = new Edge(1);
c.addEdge(e, ce);
e.addEdge(c, ce);
graph.add(a);
// ...
graph.add(e);
return graph;
}
Prim类的构造函数接收该参数并将其存储在类内部,我们可以使用originalGraphToString()方法打印输入图:
Prim prim = new Prim(createGraph());
System.out.println(prim.originalGraphToString());
我们的示例将输出:
A --- 2 --- B
A --- 3 --- C
B --- 5 --- E
B --- 2 --- C
C --- 1 --- E
C --- 1 --- D
现在,我们运行Prim算法并使用minimumSpanningTreeToString()方法打印生成的MST:
prim.run();
prim.resetPrintHistory();
System.out.println(prim.minimumSpanningTreeToString());
最后,打印出我们的MST:
A --- 2 --- B
B --- 2 --- C
C --- 1 --- E
C --- 1 --- D
6. 总结
在本文中,我们学习了Prim算法如何找到图的最小生成树。
Post Directory